Keywords
Acitretin, Etretinate, Phototherapy, PUVA, Broadband UV-B, Narrowband UV-B, Teratogenic, Hyperlipidemia
Key points
- •
Acitretin is an effective agent for the treatment of plaque psoriasis and is often used in combination therapy (phototherapy and other systemic antipsoriatic agents).
- •
Acitretin is initially dosed at 10 to 25 mg/d with gradual escalation of 10 to 25 mg every 2 to 4 weeks done according disease response and patient tolerance.
- •
Acitretin is pregnancy category X; adequate counseling, abstinence from alcohol, birth control, and evaluation for pregnancy are required before, during, and after acitretin therapy.
- •
Acitretin has the added benefit of being safely used in the long term without the risk of immunosuppression.
Introduction
Acitretin has been the only oral retinoid approved by the US Food and Drug Administration (FDA) to treat psoriasis since 1997. Monotherapy acitretin is a therapeutic option for the treatment of plaque psoriasis with doses up to 50 mg daily, although it is often used at lower doses in combination with systemic therapies, such as UV-B or oral psoralen plus UV-A (PUVA) phototherapy, to increase efficacy. When used in combination with phototherapy, acitretin may be often dosed at 10 to 25 mg every other day. It is also an effective monotherapy for erythrodermic and pustular forms of psoriasis as well as human immunodeficiency virus (HIV)-associated psoriasis. Acitretin is not indicated in the treatment of psoriatic arthritis.
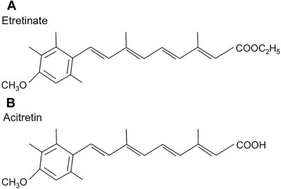
Acitretin is the pharmacologically active metabolite of etretinate, a second-generation retinoid that was approved for psoriasis in 1986 ( Fig. 5.1 ). Etretinate is more lipophilic and has a longer half-life than acitretin and can be detected in serum for up to 2 years after treatment discontinuation ( Table 5.1 ). Because of its more favorable pharmacokinetics, acitretin replaced etretinate in 1997. Concomitant alcohol intake indirectly increases the reverse esterification of acitretin to etretinate; a trend was found linking higher risk of etretinate formation with higher-dosage ethanol intake.

| Etretinate | Acitretin |
|---|---|
| Approved for psoriasis in 1986, withdrawn in 1998 | Approved for psoriasis in 1997 |
| 50 times more lipophilic than acitretin | Less lipophilic |
| Half-life of 120 d | Half-life of 50 h |
| >98% eliminated 2 or more years after treatment | >98% eliminated 2 mo after treatment |
| Metabolized into acitretin | Small amounts may be converted into etretinate (process enhanced by ethanol) |
| Teratogenic | Teratogenic |
Acitretin is available in 10-mg, 17.5-mg, and 25-mg gelatin capsules for oral administration. For optimal absorption and bioavailability, acitretin should be taken with fatty food. After oral administration, maximum plasma concentrations are reached between 0.9 and 4.6 hours; after drug cessation, elimination half-life varies from 16.5 to 111.1 hours. Acitretin is extensively distributed throughout the body with approximately 95% bound to plasma proteins without tissue accumulation. After multiple doses, steady-state concentrations of acitretin are achieved within approximately 3 weeks.
Mechanism of action
Acitretin is a second-generation monoaromatic retinoid whose mechanism of action is not fully elucidated. Acitretin activates all 3 retinoic acid receptors (α, β, γ), which are nuclear receptors that are part of the steroid-thyroid hormone receptor superfamily. Activation of these receptors leads to downstream gene expression, which ultimately leads to normalization of epidermal cell proliferation, differentiation, and cornification. Unlike other systemic antipsoriatic medications, the effects of acitretin are not mediated through immunosuppression.
Efficacy
Monotherapy
Plaque psoriasis
Many trials have demonstrated the efficacy for acitretin monotherapy in the treatment of moderate-to-severe plaque psoriasis. In an open-label multicenter study, 63 patients with severe psoriasis received acitretin at a starting dose of 50 mg daily for 4 weeks with individual dose adjustments of 10-mg increments or decrements at monthly intervals (10–70 mg) as needed thereafter. The percentage of patients achieving a 75% or greater improvement in their Psoriasis Area and Severity Index score (PASI-75) after 12 weeks was 34%, and the average reduction in PASI score was 76% in comparison to baseline by the end of the 1-year follow-up period. However, only 37 patients completed 12 months of treatment, whereas the rest withdrew prematurely because of adverse effects, therapeutic failure, or concurrent illness, or were lost for administrative reasons. In a double-blinded clinical trial, 16 patients were given initial doses of 25 to 50 mg/d for 8 weeks, followed by an open-label phase with individualized dose adjustments for 12 weeks. At the end of the 20-week follow-up, reductions from baseline were seen in scaling (42%), erythema (50%), and thickness of plaques (53%), with a 44% reduction in body surface area involved.
Four randomized controlled trials (RCTs) evaluated the efficacy of acitretin monotherapy in comparison with etretinate monotherapy. In one of these studies, patients treated with acitretin (n = 127) or etretinate (n = 41) were begun on an initial dose of 40 mg/d for 4 weeks with individual adjusted doses for the subsequent 8 weeks. Average daily doses for acitretin and etretinate were 0.54 mg/kg/d and 0.65 mg/kg/d, respectively. After 12 weeks, 52% of acitretin and 45% of etretinate-treated subjects achieved PASI-75. A systematic literature review of these 4 RCTs of acitretin and etretinate monotherapies found similar efficacies in the treatment of psoriasis.
Efficacy of acitretin in plaque psoriasis and frequency of adverse effects are dose dependent. Because both therapeutic and toxic responses to acitretin vary widely among patients, a single correct dose cannot be recommended. The optimal dose range for monotherapy acitretin is usually in the range of 25 mg every other day to 50 mg daily. To avoid intolerance, acitretin may be initially dosed at 10 to 25 mg/d with gradual escalation of 10 to 25 mg every 2 to 4 weeks (maximum 75 mg/d) done according to the response of the disease and patient tolerance. Another approach that can be used to achieve efficacy more quickly (for example, in patients with pustular psoriasis) is to start with 50 mg daily and reduce the dose once side effects begin to occur. At doses of 50 mg daily, however, the mucocutaneous side effects are often poorly tolerated.
Improvement while on acitretin is gradual and may take 3 to 6 months to achieve maximum disease control. Although higher doses (50–70 mg/d) may result in more rapid and complete responses, they are associated with increased adverse effects. Initial worsening of symptoms, such as burning, erythema, and plaque expansion, may occur but can improve if acitretin is continued. Once the disease is adequately controlled, acitretin can be tapered to the lowest effective dose for long-term maintenance therapy.
Pustular psoriasis
Monotherapy acitretin is a first-line option in pustular psoriasis, especially palmoplantar psoriasis (PPP). In a retrospective multicenter study of 385 patients with generalized pustular psoriasis (GPP), etretinate, methotrexate (MTX), cyclosporine, and PUVA were effective in 84%, 76%, 71%, and 46% of patients, respectively. Acitretin can be given with an initial dose of 25 mg/d, although those with GPP may require more aggressive therapy and can be started on a higher dose (50–75 mg/d). Dosing can be tapered down to the lowest effective dose as the disease is controlled. In the case of refractory PPP, combination therapy with PUVA should be considered.
Erythrodermic psoriasis
Acitretin monotherapy is an efficacious treatment for erythrodermic psoriasis (EP) and should be considered when the patient has a relative or absolute contraindication to first-line agents with more rapid onset (cyclosporine or infliximab). Patients can be started at an initial dose of acitretin 25 mg/d with dose escalation of 10 to 25 mg every 2 to 4 weeks. EP refractory to acitretin monotherapy may require the addition of phototherapy. In the case of exfoliative EP, sequential therapy with cyclosporine may be used ( Table 5.2 ).
| Induction | Transitional A | Transitional B | Maintenance |
|---|---|---|---|
| Cyclosporine 5 mg/kg/d divided twice daily | Acitretin 25 mg/d (dose escalation of 10–25 mg every 2–4 wk based on patient response and side effects) | Taper cyclosporine | Acitretin continued for long term |
| Month 0–1 | Month 2–3 | Month 4–7 | Month 8+ |
∗ Close monitoring of lipid profiles should be done because both drugs can cause reversible elevation of triglycerides and cholesterol.
Combination Therapy
Acitretin is often used in combination with other therapies to increase the efficacy of treatment of plaque psoriasis. Topical therapies, conventional systemic agents, phototherapy, and biologics have been used concomitantly with acitretin to enhance efficacy and reduce the total dose requirements and adverse effects of other antipsoriatic drugs ( Table 5.3 ).
| Dose Combination | Study Design | Dose Regimen | Results | Comments & Recommendations | |
|---|---|---|---|---|---|
| Topical agents | Acitretin + calcipotriol | Randomized, bilateral paired comparison | 40 received combination and 20 received acitretin alone for 52 wk | 60% of combination arm and 40% of acitretin monotherapy arm achieved complete clearance | Ashcroft et al concluded that there is insufficient evidence to support large effects in favor of acitretin + calcipotriol in the treatment of chronic plaque psoriasis |
| Conventional systemic agents | Acitretin + MTX | Retrospective data review | 18 received acitretin 25 mg (daily or alternating days) + MTX 7.5–25 mg/wk for an average 9 mo | Combination well tolerated and often effective with no new or unusual adverse effects noted, including significant hepatotoxicity | The FDA-approved acitretin prescribing information contraindicates MTX in combination with acitretin due to potential hepatotoxicity |
| Acitretin + cyclosporine | Review |
| — | Skillful management of transition phases (acitretin dose escalation, cyclosporine taper) is required. If acitretin alone is inadequate, additional phototherapy or topical agents may be considered on a case-by-case basis | |
| Biologic agents | Acitretin + etanercept | Randomized, controlled, investigator-blinded study | 60 patients with plaque psoriasis were studied. 22 received etanercept (25 mg twice weekly sc), 20 received acitretin (0.4 mg/kg daily), and 18 received combination etanercept (25 mg once weekly sc) plus acitretin (0.4 mg/kg daily) for 24 wk | 45% of etanercept group, 30% of acitretin group, and 44% of combination group achieved PASI-75 at week 24 ( P = .001 for both etanercept groups compared with acitretin alone) | Uncontrolled studies and case reports have demonstrated efficacy of treatment of plaque psoriasis with biologic plus retinoids. Acitretin reduces dose requirements and increases efficacy of biologics, but cost and lack of long-term safety data are limitations |
| Acitretin + infliximab | Case series | 4 EP patients received infliximab (5 mg/kg iv) at 0, 2, and 6 wk + acitretin (0.3–0.6 mg/kg daily) | Extremely good response of EP at 6 wk with no adverse events | This study investigates short-term infliximab therapy in EP patients. Full potential of infliximab + acitretin combination is yet to be elucidated | |
| Acitretin + adalimumab | Retrospective case series | 4 severe or recalcitrant psoriasis patients received adalimumab (40 mg weekly, or every 10 d, or every 2 wk) + acitretin (10–30 mg daily) for a mean duration of 12.9 ± 12.4 mo | 3 achieved good efficacy, 1 achieved poor efficacy, 2 experienced mild side effects | — |
Acitretin and psoralen plus ultraviolet A
Acitretin is used in combination with PUVA (re-PUVA) to increase efficacy as well as reduce the cumulative UV-A dose, retinoid dose, and duration of therapy needed to treat plaque psoriasis. Two randomized double-blinded studies demonstrated higher remission rates with fewer PUVA exposures and lower cumulative UV-A dose in psoriasis patients treated with re-PUVA in comparison to placebo-PUVA ( Table 5.4 ).
| Study | % of Patients Cleared at End Point (%) | Mean Treatment Duration (d) | Mean Number of Treatments | Cumulative UV Dose (J/cm 2 ) |
|---|---|---|---|---|
| Saurat et al, 1988 | ||||
| Re-PUVA | 94 | 47.8 | 13.7 | 57.8 a |
| Placebo + PUVA | 80 | 65.4 | 19.9 | 97.2 |
| Tanew et al, 1991 | ||||
| Re-PUVA | 96 | 40.2 | 15.3 | 58.7 a |
| Placebo + PUVA | 80 | 51.0 | 21.4 | 101.5 |
Acitretin may reduce the risk of cutaneous carcinogenicity and photoaging associated with phototherapy when used in combination with PUVA . A nested cohort study analyzed 135 patients with psoriasis who were exposed to PUVA and used retinoids for at least 26 weeks in 1 year or more. Each patient’s tumor incidence of squamous cell carcinoma (SCC) and basal cell carcinoma (BCC) with or without retinoid use was compared. After adjusting for confounding factors, retinoid use was associated with a 30% reduction in SCC incidence ( P = .002). Notably, the SCC incidence rapidly approached that of preretinoid use upon discontinuation of retinoids. Systemic retinoid use in this study was not significantly associated with increased BCC incidence.
Bath or soak PUVA is a safe and effective alternative for patients who cannot tolerate the gastrointestinal and phototoxic side effects of oral PUVA. Bath PUVA reduces the cumulative UV-A dose needed for disease control and the variation in psoralen plasma levels associated with gastrointestinal absorption of oral PUVA. Muchenberger and colleagues treated 4 patients with erythrodermic, pustular, or plaque psoriasis with bath re-PUVA (0.5 mg/kg/d of acitretin plus bath PUVA 3–5 times/wk) and found a greater than 90% improvement after 4 weeks. Compared with 25 to 50 mg/d of acitretin required when given as monotherapy, usually 10 to 25 mg/d of acitretin is sufficient when given in combination with PUVA. Patients may be begun on a daily dose of 10 to 25 mg acitretin for 1 to 2 weeks, followed by addition of PUVA treatment, which is continued until disease remission. Because retinoids thin the stratum corneum and cause an increased risk of UV radiation–induced erythema, advancement in UV-A dosimetry should be more gradual. If acitretin is to be added to a patient’s pre-existing PUVA regimen, UV-A dosimetry should be initially reduced by 50% to avoid burning and advanced back to baseline if no phototoxicity occurs. Following the clearance of psoriasis, low-dose acitretin or PUVA alone can be considered as maintenance therapy.
Acitretin and broadband ultraviolet B phototherapy
Acitretin can be used concomitantly with broadband ultraviolet B (BBUVB) to effectively treat severe forms of plaque psoriasis. This regimen allows for increased efficacy in the treatment of plaque psoriasis with lower duration of therapy and cumulative UV dose in comparison with BBUVB alone ( Table 5.5 ). In the study by Ruzicka and colleagues, the median cumulative BBUVB energy applied to reach PASI-75 was 41.5% lower with combination therapy in comparison to BBUVB alone. Iest and Boer found that the number of BBUVB treatments to reach clearance was reduced by approximately 20% in the re-BBUVB group relative to the BBUVB group. The advantage of re-BBUVB over re-PUVA is the use of phototherapy without the need of oral psoralen and the lower risk of cutaneous carcinogenicity of BBUVB in comparison to UV-A.
| Study | Combination Treatment Regimen | Number of Patients | Mean Measure of Treatment Length | Cumulative Dose (J/cm 2 ) | Efficacy End Points |
|---|---|---|---|---|---|
| Iest and Boer, 1989 | Acitretin (0.34–0.44 mg/kg) + BBUVB | 9 | 19.3 (no. of treatments) | 8.4 ± 3.7 | 89% obtained clearance a |
| BBUVB | 32 | 24.9 (no. of treatments) | 11.1 ± 5.2 | 62.5% obtained clearance a | |
| Ruzika et al, 1990 | Acitretin (35 mg/d × 4 wk, 25 mg/d thereafter) + BBUVB | 40 | 48.0 (d) | 8.8 ± 6.8 | 76% decrease in PASI 60% obtained ≥ PASI-75 |
| BBUVB | 38 | 43.4 (d) | 6.4 ± 5.2 | 35% decrease in PASI 24% obtained ≥ PASI-75 |
Stay updated, free articles. Join our Telegram channel
Full access? Get Clinical Tree




