Eczema
Atopic dermatitis
Seb. dermatitis
Contact dermatitis
Diaper dermatitis
Photosensitive eczema
Other eczemas
Papulosquamous disorders
Psoriasis
Lichen planus
Autoimmune disorders
Alopecia areata
Vitiligo
Lupus
Blistering disorders
Epidermolysis bullosa
Pemphigus
Bullous pemphigoid
Porphyria
Vascular disorders
Haemangiomas
Inflammatory disease
Intertrigo
Perianal inflammation
Peristomal inflammation
Phimosis
Granulomatous disorders
Others
Urticaria
Urticaria pigmentosa
Lichen scleroses
Burns
Mucocele
Most of these steroid-responsive dermatoses share more than one pathomechanism and are characterised by symptoms that respond to the anti-inflammatory, vasoconstrictive, antimitotic, and immunosuppressive effects of TCS. Thus TCS has become a cornerstone in the treatment of patients with a variety of skin conditions in all age groups barring young infants up to 2 months of age [1].
Corticosteroid therapy encompasses topical application with or without occlusion and intralesional steroid (ILS) injections. Successful treatment depends on the accurate diagnosis and selection of the appropriate steroid molecule with relevant consideration of the delivery vehicle, potency, frequency of application, duration of treatment, and strict vigil on the side effects.
The usefulness and side effects of topical steroids are a direct result of their anti-inflammatory properties, although no single agent has been proven to have the best benefit-to-risk ratio.
3.1.1 Structure
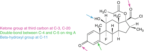
It is essential to understand the basic structure of a steroid molecule and the modifications responsible for their enhanced potency and diminution of the side effect. Figures 3.1, 3.2, 3.3, and 3.4 are self-explanatory, depicting how the basic structure of hydrocortisone can be modified to improvise the therapeutic effect. This enables physician to choose the molecule to suit the patients’ current condition as requirement varies in the same patient with same disease during the course of disease. For example, C16-methyl substitution, interfering with protein binding, and halogenation, seems to reduce the allergenicity of corticosteroid molecules. Hence, when indicated, C16-methylated corticosteroids should be preferentially prescribed.





Fig. 3.1
Basic structure of steroid molecule

Fig. 3.2
Structural modifications to increase potency

Fig. 3.3
Structural modifications to increase anti-inflammatory action

Fig. 3.4
Structural modifications to increase safety
3.1.2 Strength
Though TCS is available in various strengths, certain dermatoses require higher strength, while others respond well to low-potent steroids. The strength of TCS however should be decided taking into consideration various factors like age of patient, site of involvement and thickness of lesion, vehicle, components of the preparation, and the duration of treatment. The following table gives an idea of different strength required to manage different diseases (Table 3.2). Age-wise choice of TCS in children is given in Table 3.3.
Table 3.2
Conditions treatable with topical steroids in adults
High-potency steroids (groups I to III) Eczema Atopic dermatitis Acute radiation dermatitis Hyperkeratotic eczema Lichen simplex chronicus Nummular eczema Severe hand eczema Acute contact/irritant dermatitis Psoriasis Lichen planus Lichen sclerosus Alopecia areata Vitiligo Discoid lupus erythematosus Autoimmune blistering disease (pemphigus, pemphigoid) Chronic idiopathic urticaria Urticaria pigmentosa Sarcoidosis |
Medium-potency steroids (groups IV and V) Asteatotic eczema Atopic dermatitis Lichen sclerosus (genital) Nummular eczema Scabies (after treating with scabicide) Seborrhoeic dermatitis Stasis dermatitis Melasma Phimosis Labial adhesion Radiation dermatitis |
Low-potency steroids (groups VI and VII) Diaper dermatitis Eyelid eczema Pityriasis alba Intertrigo Perianal inflammation Peristomal dermatosis |
Table 3.3
Age-wise option for potency of TCS
0–3 months | No TCS |
3 months to 1 year | Classes 6, 7 |
1–2 years | Classes 4, 5 |
2–12 years | Classes 2, 3 |
Above 12 years | Class 1 |
3.1.3 Absorption
One should remember that the absorption is variable in different anatomical sites as seen below. The skin over the eyelids absorbs the most, while that of the sole absorbs the least:
Eyelids and genitals absorb 30%.
Face absorbs 7%.
Armpit absorbs 4%.
Forearm absorbs 1%.
Palm absorbs 0.1%.
Sole absorbs 0.05%.
3.1.4 Safety in Pregnancy and Breastfeeding
Safety of TCS in pregnancy much depends on the placental penetration of the steroid molecule. The enzyme 11-beta-hydroxysteroid dehydrogenase plays a vital role by converting cortisol to cortisone the biologically inactive form. It has been observed that hydrocortisone is relatively safe in pregnancy with only 15% of 3H cortisol crossing the placenta unmetabolised, which is up to 67% for dexamethasone. In case of methylprednisolone and betamethasone, 45% and 30% of unmetabolised cortisol cross the placental barrier, respectively. Though there is no documented evidence for the development cleft palate/lip or other birth defects, available literature reports placental insufficiency and low birth weight following use of very potent and potent TCS during pregnancy [3–7].
Following are some dos and don’ts worth considering while using TCS in pregnancy:
Mild/moderate TCS to be preferred to potent/very potent.
While using potent/very potent, TCS should be advised for as short period as possible and appropriate obstetric follow-up and care should be provided.
Lipophilic TCS with once a day application are better.
Until an evidence-based definite safety margin is drawn, TCS should be used with caution during pregnancy.
Mild, moderate, and potent topical corticosteroids are considered safe to use when breastfeeding. Patient should be instructed to wash off any steroid cream applied over breasts before feeding. It is advisable that very potent topical corticosteroids are not recommended to use over the chest while breastfeeding.
3.1.5 Vehicles and Preparation
Steroids may differ in potency based on the vehicle in which they are formulated. Hydration generally promotes steroid penetration. Hence application of TCS after a shower or bath improves effectiveness, which at the same time increases the side effects as well. Cosmetic elegance has also to be born in mind to get better patient adherence and compliance. For example, greasy nature of the ointment may result in poor patient satisfaction. For dermatologic use, topical corticosteroids are available in various dosage forms including creams, dressings (tape), foams, gels, lotions, ointments, solutions, and aerosols (suspensions). The choice of a dosage form depends on the location of the lesion, and the condition being treated (Table 3.4) may guide to some extent the choice of formula to be used over different parts of the body.
Table 3.4
Choice of preparation of TCS for different anatomical sites
Choosing the correct preparation of TCS | |
|---|---|
Foam, gel | Hairy areas |
Lotion, solution | Hairy areas, wider surface |
Cream | Face, tender skin |
Ointment | Over thick skin and lesion |
Emulsion | Hairy areas, wider surface |
Shampoo | Hairy areas |
3.1.6 Combination
Combinations of TCS with other agents like antifungals, antibiotics, keratolytics, and vitamin D are available commercially. Extemporaneous preparation or dilution should not be encouraged. Such a combination of products will result in decreased or variable effectiveness. There are two schools of thoughts about the usefulness of combination of TCS with antibiotics and antifungals, one group in favour and the other against the use of combination products. The authors are of the opinion that judicious use of combinations of TCS with anti-infective agents in carefully selected patients for a limited period will help in faster clinical improvement thereby better patient adherence and complete cure. However, it cannot be overemphasised that prolonged use of combinations should be avoided to reduce the risk of severe, persistent, or recurrent infections especially while dealing with fungal infections more so in children [8].
3.1.7 Frequency of Administration and Duration of Treatment
By and large frequency of application of TCS should not exceed twice a day as more frequent administration does not provide better results. Continuous and prolonged application of TCS can induce tolerance and tachyphylaxis. Ultra-high-potency steroids should not be used for more than 3 weeks continuously. Side effects can be precipitated by mild steroids in prone individuals even in less than a weeks’ time [9].
3.1.8 Occlusion
Occlusive dressing therapy is indicated wherever the absorption needs to be increased, whether it is the thick skin or hyperkeratotic lesion. One has to be extremely cautious while using a tape or a plastic film for occlusion. Frequency of occlusive dressing and the duration which is normally 12–24 h determine not only the effect but also the side effects [10].
Intermittent use of occlusive dressings for 12 h daily is recommended to reduce the risk of adverse effects and for greater convenience. If occlusion is indicated over extensive areas, sequential occlusion of only one portion of the body at a time is preferable to whole-body occlusion.
3.1.9 Intralesional Administration
Intralesional steroid (ILS) administration involves injection of a corticosteroid, such as triamcinolone acetonide or betamethasone suspension directly into a lesion on or immediately below the skin. Shorter-acting corticosteroid preparations, such as dexamethasone or betamethasone acetate, are sometimes administered in combination with triamcinolone. ILS injection helps to bypass the barrier of a thickened stratum corneum, thereby reducing the chance of epidermal atrophy and better delivery of steroid in higher concentrations to the site of the pathology.
List of skin conditions that can be effectively treated with is given in Table 3.5.
Table 3.5
Conditions treated with IL steroid injection
Indications for IL steroid injection |
|---|
Alopecia areata |
Keloids |
Hypertrophic scars |
Nodulocystic acne |
Hypertrophic lichen planus |
Discoid lupus erythematosus |
Lichen simplex chronicus |
Resistant plaque psoriasis |
Granuloma annulare |
Granulomatous cheilitis |
Granuloma faciale |
Pyoderma gangrenosum |
Hidradenitis suppurativa |
Necrobiosis lipoidica |
Cutaneous sarcoidosis |
Infantile haemangiomas |
Vitiligo |
Mucocele |
3.1.10 Side Effect
Side effects induced by TCS should always be born in mind. The use of dermatoscopy should be encouraged which will reveal early signs of atrophy as red lines before they become clinically evident with the naked eye. Early detection of “steroid preatrophy” will help discontinuation of TCS and prevent irreversible damage [11].
3.2 Indications
3.2.1 Atopic Dermatitis
TCS are used in the management of AD in both adults and children and are the mainstay of topical anti-inflammatory therapy. TCS are indicated only in those cases where the conventional emollients have failed to induce desirable clinical effect and in severe cases in order to bring down the inflammation fast. TCS should never be considered as solo therapy in any stage of the disease. Though AD is one of the most common indications for the use of TCS, choice of molecule and formula will vary depending on factors like patient’s age, extent and anatomical areas of involvement, severity of xerosis, patient preference, and cost of medication. Twice-daily application of corticosteroids is generally recommended, while according to one school of thought once-daily application is equally good in inducing remission while at the same time reducing the risk of side effects of frequent application. It is also observed that use of TCS as wet wraps is more efficacious than using only moisturizers. Wolkerstorfer et al. have shown that side effects are minimised by diluting the potent TCS to 10% or even 5% of their original strength. However the authors suggest the use of medium-potency TCS instead of dilution [12–21].
TCS are indicated in AD not only for their anti-inflammatory effect but also their antipruritic effect which is the most important aspect in the management of AD. Daily application of TCS is recommended during acute flares, until significant improvement of inflammation is observed clinically, and it is important not to stop TCS abruptly which will lead on to relapse. The success of treatment of AD lies in the effective maintenance of remission which can be achieved by intermittent use of TCS once or twice weekly over areas that commonly help prevent relapses and is found to be more effective than use of emollients alone. With increasing access to literature, and inappropriate knowledge, unnecessary fear in the form of steroid phobia has led to steroid under treatment. It is important therefore to address such factors and counsel both patient and parents to achieve good response.
It is a well-known fact that the skin of an AD patient is commonly colonised with Staphylococcus aureus in high densities and AD flares are associated with such an increased colonisation of S. aureus. Marked reductions in Staphylococcus aureus levels in AD have been observed in those treated with TCS. The use of TCS can reduce the density of S. aureus and thereby help in better response in patients with AD as steroid application tends to normalise the cutaneous microbiome on both nonlesional and lesional AD skin. Moreover, there is evidence that TCS not only decreases inflammation but also improves barrier function sufficient enough to reduce bacterial colonisation leading to normalisation of normal flora.
3.2.2 Seborrhoeic Dermatitis (SD)
TCS are considered to be first- or second-line agents for SD, depending upon the severity of disease. The use of TCS for adult SD, regardless of site or severity, is to achieve the most rapid control of signs and symptoms. In many cases, a low- to low-mid-potency TCS is effective in rapidly clearing visible signs and associated symptoms. As SD of the scalp is invariably associated with more severe pruritus when compared to SD of non-hairy areas, there is a need for initial treatment with TCS of higher potency followed lower-potent TCS over the next two weeks. Though low- or mid-potency topical corticosteroids have been successful in reducing itching and inflammation of SD and are as effective as antifungal and other anti-inflammatory agents, it has to be remembered that relapse is more common with use of TCS alone when compared to use of antifungal and other non-steroidal topical therapies. Tapering of frequency and strength may help reduce the risk of relapse. After attaining initial control, mid-potent steroid shampoo can be used as an alternative to or in addition to TCS application used for maintenance. TCS may hasten recurrences and because of rebound effect can lead to dependence; hence, TCS is to be encouraged only for short-term use, while solo therapy with TCS should be discouraged [22–30].
It is preferable to use TCS in combination with other agents like antifungal and keratolytic agents. The choice of potency and formula much depends on the site and severity of SD and age of patient as the same molecule in an ointment is more potent than a cream and lotion. TCS should be used sparingly in SD to avoid adverse effects.
3.2.3 Contact Dermatitis (CD)
Localised acute allergic CD can be successfully treated with mid- or high-potency TCS such as triamcinolone 0.1% or clobetasol 0.05%. Low-potent TCS such as hydrocortisone are found to be effective in reducing inflammation in children. Potent TCS applied twice daily are useful to treat small areas of moderate-to-severe CD. In the setting of proven allergic CD due to TCS itself, care must be exercised in modifying the molecule to avoid the allergen and to avoid allergy to known cross-reactive agents as well. The usefulness of TCS in the management of irritant CD has not been proven. Levin et al. found TCS to be ineffective in surfactant-induced CD. C16-methyl substitution is likely to reduce the allergenicity of corticosteroid molecules by interfering with protein binding and halogenation. Hence, when indicated, C16-methylated corticosteroids should be preferentially prescribed.
3.2.4 Photosensitive Eczema
TCS are useful in photosensitive eczema, as both anti-inflammatory and immune-modulatory agents. Without the preventive measures like photo protection and use of sunscreens, even TCS will prove ineffective. Depending on the site and severity of disease, the strength and vehicle have to be chosen. Prolonged and continuous use of potent TCS should be avoided for fear of tachyphylaxis and skin atrophy [35].
3.2.5 Lichen Simplex Chronicus (LSC)
TCS are the treatment of choice in LSC as they soften and decrease thickness of the skin in addition to their anti-inflammatory effect. LSC is one condition where occlusive therapy with TCS will be very useful and should be practised wherever possible in order to increase potency and enhance delivery of the agent. Occlusive dressing also helps as physical barrier to the scratching, thereby stopping the itch-scratch cycle. High-potency TCS should not be used over the genital skin and for more than 3 weeks even over the skin on other parts of the body [36–38].
3.2.6 Hand Eczema and Pityriasis Alba
Hand eczema and pityriasis alba are influenced by both exogenous and endogenous factors, making a successful treatment quite challenging. Taking into consideration the severe inflammatory nature of hand eczema and recurrent nature of pityriasis alba, it is better to choose the correct strength and vehicle. TCS are though safe and effective if used judiciously along with emollients, their efficacy nonetheless appears to be limited. It is better to prescribe low-potency TCS of classes 5 and 6 for the treatment of pityriasis alba. Prolonged use of TCS on the face is not recommended, more so in children [39, 40].
3.2.7 Peristomal Dermatoses
Peristomal inflammation is a common problem which needs effective care without affecting the stoma bag adhesion. Lyon et al. have demonstrated that TCS formulated in aqueous/alcohol lotions or carmellose sodium paste are effective in the management of peristomal inflammation without impairing stoma bag adhesion. Before treating with TCS, infections and irritant factors should be identified and corrected. TCS application should be advised for temporary use to control severe disease and for occasional use thereafter. Initial treatment with TCS should not exceed 4 weeks and is applied only at stoma bag changes. TCS formulated in aqueous or alcohol vehicles are preferred to cream or ointment preparations. Strict vigilance for local side effects is mandatory while treating the peristomal skin where the barrier function is already jeopardised [41].
3.2.8 Psoriasis
TCS are the most suitable topical agents for the treatment of psoriasis among all age groups. They have anti-inflammatory, anti-proliferative, immunosuppressive, vasoconstrictive, and antimitotic effects. TCS is the first-line therapy in psoriasis, especially in the event of non-availability of UVB therapy. In appropriate concentration and formula, TCS are still used in treatment of plaques over the face, neck, flexures, and genitalia even in children. Diluted TCS are also used in unstable, erythrodermic, and generalised pustular psoriasis, for a very short period keeping in mind the risk of systemic absorption that cannot be predicted in a breached skin. TCS under occlusion do have a limited place in the management of recalcitrant psoriasis of the scalp, hands, feet, and other areas. Hydrocolloid dressing is found to be superior to plastic film used for occlusive therapy. Low- to mid-potency corticosteroids, classes 5–7, are chosen for facial and intertriginous lesions, while mid-potency, classes 2–4, are chosen for extremities and the scalp. Clobetasol emulsion foam is safe and effective for treatment of psoriasis in patients aged 12 years or older. TCS can be continued till the lesions become flat and inactive [42–45].
Corticosteroid can be given intralesionally in resistant plaques of psoriasis. The concentration is generally 3–10 mg/mL, depending on the size, thickness, and area of the lesion. Triamcinolone hexacetonide (5 mg/mL) or triamcinolone acetonide (10 mg/mL) can be infiltrated intradermally into localised psoriatic lesions by needle injection. Additional injections may be needed every 4–6 weeks. This is of particular value in troublesome, small, resistant lesions where systemic therapy is not required. The remission is prolonged and repetition of the injection may not be required for several months. In psoriasis of fingernails, the nailfold can be injected, with triamcinolone acetonide, but the procedure may be painful and the results are as good as in psoriasis of the skin. Disadvantages of intralesional injections include pain during the injection and potential side effects of local atrophy and systemic absorption.
3.2.9 TCS in Children with Psoriasis
Topical steroids are suitable for the treatment of childhood psoriasis among all age groups. Steroids of classes 5–7 are chosen for facial and intertriginous lesions, while mid-potency classes 2–4 are chosen for extremities and the scalp. TCS treatment should not be discontinued abruptly for fear of developing pustular lesions.
There are different observations as to whether or not TCS used in conjunction can hasten clearance of psoriatic plaques treated with UVB therapy [46–51]. Some studies also indicate that addition of TCS to UVB may lead to more frequent relapse. The authors however feel that addition of TCS to any kind of therapy helps in bringing down the inflammation. Once the inflammation is brought down, instead of discontinuing the therapy, it would be wiser to maintain with non-steroidal topical agents and emollients in order to sustain remission.
TCS are commonly used as polytherapy and combination therapy with other agents which help in the management of psoriasis [52]. Effective combinations with agents like vitamin D3, salicylic acid, and tar help:
Achieve rapid cure
Reduce need for prolonged treatment with TCS
Thereby reduce its side effect of TCS
Reduce duration and cost of therapy
While treating nail psoriasis, one must keep in mind that psoriasis nail will frequently have superadded fungal infection after treatment of which TCS can be applied to the paronychial skin. Intralesional triamcinolone can also be used in the same region to reduce the subungual inflammation. Severe nail psoriasis can impact significantly on quality of life and is difficult to treat. Dexamethasone iontophoresis may be a useful treatment of this generally recalcitrant condition.
3.2.10 Lichen Planus (LP)
Cutaneous lichen planus is the most itchy papulosquamous disease. TCS particularly class 2 or 3 preparations remain the first-line treatment for cutaneous LP of the skin and mucosa with limited extent. TCS are used to treat painful, erythematous, or erosive oral lesions. Intralesional steroid injections are indicated in hypertrophic oral erosive LP, and that of nail IL injection enhances maximum drug delivery to the affected site. However, care must be taken to avoid side effects like atrophy, depigmentation, and infection [53–55].
While treating oral LP, there is a potential risk of developing oral candidiasis in some patients treated with TCS in orabase. However, the superadded candida growth usually does not affect the healing of LP. Under such circumstances, it is nevertheless important to treat patients with topical or systemic antifungal agents. Use of betamethasone can decrease inflammation by inhibiting polymorphonuclear chemotaxis and reversing the increased capillary permeability. It also inhibits lymphokine production in addition to its inhibitory effect on the Langerhans cells. In selected cases, beclomethasone inhalant as a puff can be used in metered-dose inhaler delivering 50 mcg per puff. Such direct inhaler can deliver the drug to the sites of greatest erythema or erosion. Dental pastes having 0.1% triamcinolone acetonide in 1% carboxy cellulose are also effective in oral LP.
3.2.11 Alopecia Areata (AA)
TCS are widely used in the management of alopecia areata as topical application, as under occlusion, and as intralesional injection. The rate and speed of regrowth are variable, and hence it is advisable that treatment is continued for a minimum of 3 months before regrowth can be expected and maintain therapy thereafter to prevent recurrence. There are studies indicating the usefulness of TCS in various formulas in the management of AA. Fluocinolone acetonide cream, fluocinolone scalp gel, betamethasone valerate lotion, betamethasone dipropionate cream, clobetasol propionate ointment, dexamethasone in a penetration-enhancing vehicle, and halcinonide cream are some of them showing satisfactory-to-excellent response. It has been documented that remission was maintained well in those patients treated with TCS. However TCS gives best results in small patches, with duration less than 1 year [10, 56–67].
Tosti et al. have shown that TCS used under occlusion gave very good results in their study that was performed in a subgroup of patients whose disease was refractory to other modalities of treatment using. Hair growth was induced in 6 months’ time in nearly 30% of the study group and was maintained for 6 months in more than 60% of their patients. However, only less than 20% of their patients showed long-term benefits. According to the authors, regrowth of hair observed only on the treated half of scalp showed that it is the local effect of TCS responsible for the regrowth. Despite the usefulness of TCS in the management of AA, monotherapy with TCS will not be of use in all patients, instead increase the chance of steroid side effects. Folliculitis is the most common adverse effect which can manifest after a few days to weeks. It is important to look for atrophy of the skin which is more difficult to detect on scalp when compared to other body sites. Anaphylaxis though rare, every physician should be prepared to handle the situation when there is an emergency.
IL steroids are found to be superior to TCS and yield best results in adults with limited patchy AA. Typically, 2.5- and 5-mg/mL triamcinolone acetonide concentrations are recommended for the face (beard, eyebrows) and scalp, respectively, not exceeding 20 mg per month/session. Diffusion into the adjacent skin can be minimised with perpendicular placement of the needle with the bevel pointed opposite and 3 mm away from the adjacent border. Studies show no difference in regrowth while using 2.5 mg/mL, 5 mg/mL, or 10 mg/mL, but more cases of reversible skin atrophy were seen in the 10-mg/mL group.
Using the lowest effective concentration minimises local and systemic side effects. By using lower concentration of the drug, it is possible to cover larger area. For example, by using 2.5 mg/mL yields a total of 8 mL volume for a recommended maximum of 20 mg of triamcinolone acetonide per month. This will be useful for treatment of more extensive scalp alopecia areata.
Stay updated, free articles. Join our Telegram channel
Full access? Get Clinical Tree



