Summary and Key Features
- •
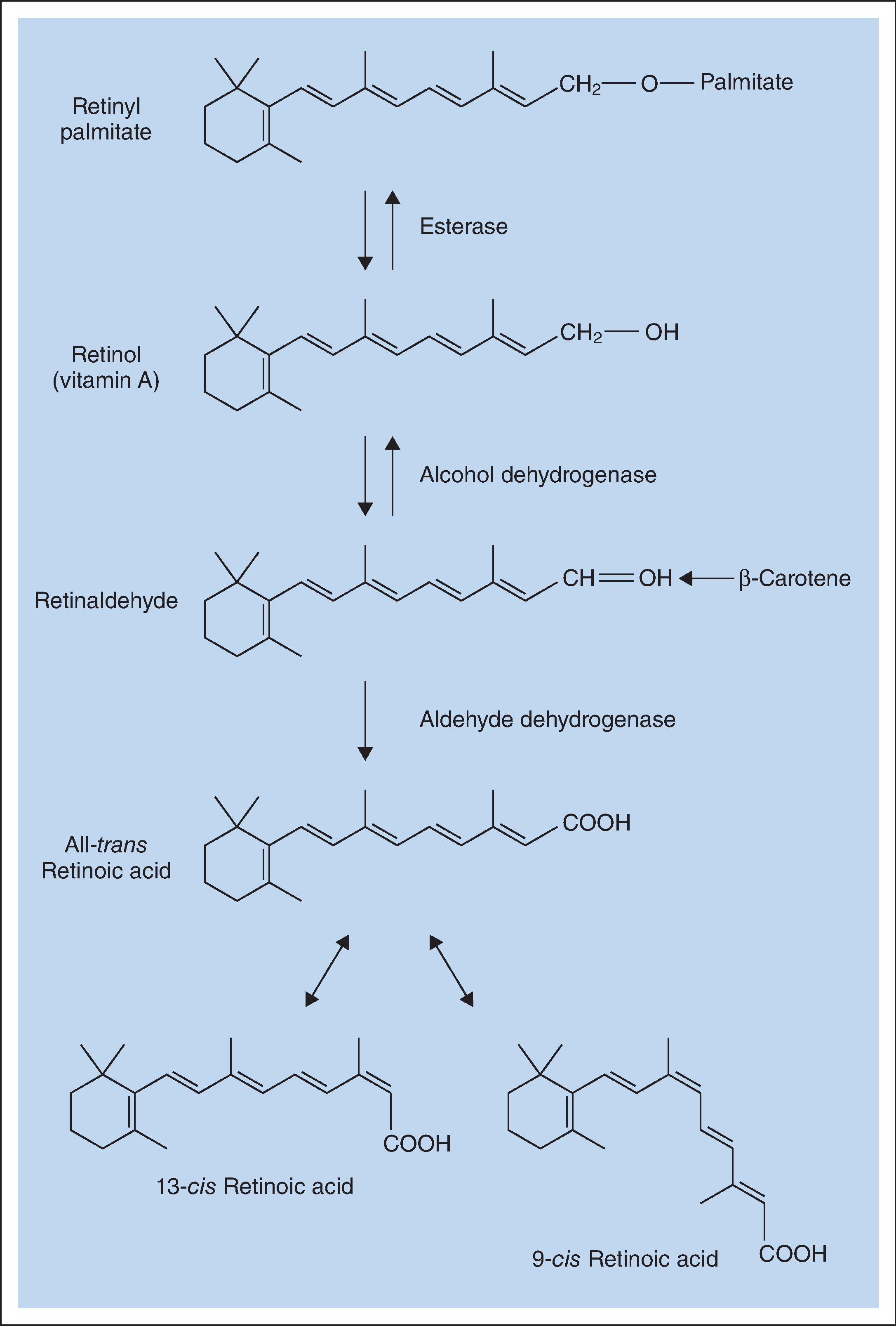
Retinoids are naturally occurring derivatives of beta-carotene ascribed as vitamin A and its direct metabolites.
- •
Retinol has been studied extensively for topical treatment of photodamage and acne, with currently marketed cosmetic products containing relatively low levels of retinol of 0.05% to as high as 3.0%.
- •
Oxidation of the alcohol group on retinol yields retinaldehyde, an intermediate form that is further oxidized to the active moiety of retinoic acid.
- •
Retinyl esters serve a primary role of storage of vitamin A in cellular locations, primarily lipids, with retinyl palmitate being the predominant form.
- •
Topical retinoic acid is well known for its activity in improving the appearance of photodamage such as fine lines, wrinkles, and hyperpigmentation.
See and .
Introduction
Retinoids are classified as compounds that have the basic core structure of vitamin A and its oxidized metabolites. More recently, this structural classification has been broadened to include synthetic compounds that share similar mechanisms of action as naturally occurring retinoids. The discovery of these novel retinoid analogs has been facilitated in large part by a mechanistic understanding of the role of retinoids in molecular biology, gene expression profiling, and basic metabolic research. While the current knowledge of vitamin A metabolism and activity profiles can be further grouped via the two different delivery routes, oral and topical, this chapter will focus primarily upon pharmacologic profiles and metabolic rates as per topical delivery in humans. Also, this chapter will highlight key understandings of current topically used retinoids both in the dermatologic field as well as in the over-the-counter (OTC) and cosmetics marketplace.
Molecular Biology of Retinoids
Retinoids are naturally occurring derivatives of beta-carotene and are ascribed as vitamin A and its direct metabolites. These include retinol, retinaldehyde, retinyl esters, and retinoic acid ( Fig. 4.1 ). These compounds serve an essential role in biological pathways of higher-order mammals such as development (including ocular), angiogenesis, and dermatologic homeostasis. One of the primary biologically relevant retinoids is retinoic acid, which exists as several isomeric forms (e.g., all- trans , 9- cis , and 13- cis ) and is an oxidized form of retinol. This molecule has been shown at the molecular level to function as an agonist for the retinoic acid receptors (RARs) and retinoid X receptors (RXRs), a specific subclass of the broader family of nuclear receptors. In this subclass, there are three isoforms of the respective receptors, labeled α, β, and γ. Upon binding of the retinoic acid ligand, RAR and RXR will form a heterodimer that then binds to specific DNA sequences termed retinoic acid response elements (RAREs) located in the promoter regions of retinoid-responsive genes. More recently, it has become apparent that the transcription factor activator protein-1 (AP-1) also has a significant effect upon regulating activation of genes through its interactions at the RARE site.

In summary, retinoic acid can influence the function of a cell by altering gene expression patterns through its facilitated binding to RAREs of a dimerized RAR/RXR complex ( Fig. 4.2 ). Additionally, it is believed that the majority of biologic effects observed from topical delivery of retinoids are mediated by interaction through the RAR/RXR complex, including in some cases any obligatory metabolic conversion to retinoic acid. This knowledge of the mechanistic role in retinoid regulation of gene expression patterns allowed for the synthesis of novel pharmacologic classes of compounds that have a broader structural diversity with varying pharmacologic properties than natural retinoids. Recently, various natural compounds have been shown to have retinoid-like activity but do not have a retinoid-like chemical structure. It is still to be determined whether these molecules function via binding to RAR or via an alternative mechanism that triggers increased gene expression of retinoid-responsive genes. Additionally, it has been reported that retinol may also play a role in regulation of mitochondrial bioenergetics. Retinol was shown to directly interact with a unique signalosome , a complex of PKCδ, p66Shc, and cytochrome c that in turn regulates pyruvate metabolism. Interestingly, this work suggests that retinol can impact other processes that are not associated with an RAR-linked mechanism.

Metabolism of Cutaneously Delivered Retinoids
The metabolic pathways that have been identified as involved in retinoid metabolism in the digestive system have been confirmed in large part as existing in human skin ( Fig. 4.3 ). While much of free retinol is esterified via lecithin:retinol acyltransferase (LRAT) or acyl CoA:retinol acyltransferase (ARAT) to retinyl palmitate for storage, a small percentage is further oxidized to the active acid form. The oxidation of free retinol to retinaldehyde and then further to retinoic acid represents the limiting steps in the generation of active retinoid metabolites within cells. This process is begun when free retinol associates with a specific cytoplasmic retinol-binding protein (CRBP). The retinol-CRBP complex is a substrate for retinol dehydrogenase, a microsomal enzyme uniquely capable of catalyzing the conversion of retinol to retinaldehyde. Retinaldehyde is then rapidly and quantitatively oxidized to retinoic acid by retinaldehyde oxidase. Once converted, retinoic acid regulates gene expression profiles via RAR/RXR for skin keratinocyte growth and differentiation.

This multistep processing of retinyl esters serves as a point of regulation to control the level of active retinoid in the skin and may thus contribute to the lower irritation potential of these derivatives. Ultimately, retinoic acid is metabolized irreversibly via hydroxylation to 4-hydroxy-retinoic acid and 4-oxo-retinoic acid via various cytochrome P 450 s. It is important to note that the majority of retinoid metabolism that occurs is mediated via retinoids bound to cytosolic lipid-binding proteins. This family of proteins with high retinoid specificity includes CRBP and cytoplasmic retinoic acid-binding protein (CRABP), of which there are two isoforms, I and II.
Topical usage of retinoids has shown a high degree of efficacy against acne, photodamage, and psoriasis. These effects have also been ascribed as being a normalization or restoration of altered skin conditions. However, two of the key negatives associated with topical retinoids are:
- •
Irritation that, in some instances, does not mitigate itself completely even after long-term chronic exposure
- •
Teratogenic effects
Thus a significant effort has been expended to identify retinoids that are efficacious and have an overall lower irritation profile and lessened teratogenic safety concerns.
To minimize these negatives and yet still alter photodamaged skin, retinoic acid precursors such as retinol, retinaldehyde, and retinyl esters (e.g., retinyl propionate and retinyl palmitate) have been used widely in the skin care industry. It is hypothesized that the acyl chain length of retinyl esters plays a key role in determining the activity and irritation profiles. It may therefore be possible to identify an acyl chain length or other moieties esterified to retinol that provide robust retinoid activity yet have minimal irritation.
Retinol
Retinol (vitamin A) is derived from the hydrolysis of beta-carotene, which stoichiometrically yields two molecules of retinol. Retinol serves as a key junction point for retinoid metabolism that allows for either storage in the form of retinyl esters or further oxidation to the pharmacologically potent form, retinoic acid. Historically, retinol has been studied extensively for topical treatment of photodamage and acne, and current cosmetic products contain relatively low levels of retinol, ranging from about 0.08% to much lower. This is due largely in part to intolerance among consumers for the irritation side effects, part of which may be driven by activation of sensory receptors. It is hypothesized that any efficacy from topically delivered retinol occurs via its sequential conversion to the intermediate retinaldehyde and, finally, to retinoic acid, the endogenous active form.
There is sufficient evidence that some of the fundamental metabolic processes occurring in such tissues as the liver and other cell types exist in epidermal keratinocytes and melanocytes, as well as in dermal fibroblasts. Specifically, basal keratinocytes are supplied with vitamin A from the bloodstream, and although the precise mechanism(s) are not completely understood, retinol enters the cells through receptor-dependent and receptor-independent processes. Once inside the cell, retinol may be converted to retinyl palmitate or sequentially oxidized to retinoic acid. This metabolic process also applies to exogenously delivered retinoids via cutaneous delivery routes.
Retinaldehyde
Oxidation of the alcohol group on retinol yields retinaldehyde, which is viewed in large part as an intermediate form of retinol during the conversion of retinol to retinoic acid. Topical studies of retinaldehyde have been reported with the conclusions that retinaldehyde has retinoid activity in human skin, is better tolerated than retinoic acid, and can alleviate rosacea symptoms. Outside of a few instances in which retinaldehyde is used for Rx indications, it is not commonly used OTC and is in few examples in the cosmetics marketplace for topical usage.
Retinyl Esters
Retinyl esters serve a primary role of storage of vitamin A in cellular locations, primarily long chain fatty acids, with retinyl palmitate being the predominant form. The conversion of retinol from retinyl palmitate is believed to occur via retinyl esterase activities residing in a number of subcellular locations and through nonspecific esterases, which are abundant in the skin.
Retinyl Propionate
Retinyl propionate has been reported to be active in human skin and to have less irritation than other active retinoid options. It has been observed that this particular ester is capable of eliciting retinoid-like effects in human skin via both histologic assessments and clinical measures of photodamage changes ( Fig. 4.4 ). Furthermore, retinoid-induced irritation appears to be less evident from retinyl propionate in comparison with retinol or retinyl acetate ( Table 4.1 ). As with retinyl palmitate, retinyl propionate must be hydrolyzed to free retinol, a process that occurs via skin esterases. It has been reported that the propionate ester has an improved stability profile relative to other esters, thereby increasing half-life upon skin during topical delivery. In fact, it has been recently shown that retinyl propionate has a metabolic advantage over retinol and retinyl palmitate in in vitro retinoid-responsive models. Clinically, retinyl propionate has been found to have significant cosmetic-related efficacy in improving the appearance of photodamaged facial skin. As with most retinoids, formulation choices and ensuring stabilization of the molecule will impact efficacy, as noted by conflicting published studies.







