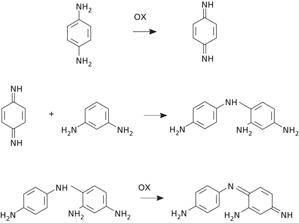
Rene C. Rust1 and Harald Schlatter2 1 GSK/Stiefel, Brentford, Middlesex, UK 2 Procter & Gamble German Innovation Centre, Schwalbach am Taunus, Germany Modern hair dyes offer a broad range of products and a variety of color results. They constitute a large category – over 70% of women in the developed world color their hair at least once, and many do so regularly. The number one reason for dyeing hair is to cover gray hair and look younger, but more women now use hair dyes as a means to change their appearance. Within the category, permanent or oxidative hair dyes represent the largest market share with around 80% of all products. A combination of hydrogen peroxide and an alkalizing agent (typically ammonia) form the basis to lighten the natural hair color while at the same time forming wash‐resistant dyes inside the hair shaft. Due to the complex chemistry of hair dyes, safety and regulatory criteria are important aspects of modern hair colorants. Special emphasis needs to be made on proper safety and instructions for use – together with recent technology advances these enable potential allergy risk to be further minimized. Natural hair color manifests itself in a vast multitude of shades and tones – from the lightest blonde and warmest brunette to the most vibrant red and deepest black. Yet, for thousands of years, humans have attempted to enhance or change their natural hair color, initially with the help of natural preparations such as kohl and henna [1], nowadays with modern products which offer a broad range of color results and gray coverage. Hair dyes can be defined as products that alter the color appearance of hair temporarily or permanently, by removing some of the existing color and/or adding new color. They constitute a significant category in the cosmetics market – it is estimated that over 70% of women in the developed world have used hair color, and a large proportion of those do so regularly [2]. Consumers have the choice between home hair dye kits and having their hair dyed professionally at a salon. While each woman may have a very individual reason for coloring her hair, covering gray can be considered a universal key motivator. Other desired performance aspects include enhancing the existing color, choosing a color different from the natural hair, or achieving a more striking appearance. A wide range of products for changing the color of hair is available to consumers. Today’s hair dyes can partially remove (lift) natural hair color, add (deposit) new artificial color, or indeed do both at the same time. They offer a variety of results, from a subtle color refresher to a significant change in the natural hair color, based on very different dye technologies. The classification of hair dyes is based on the permanency of the induced color change (Table 32.1). It should be noted that home and salon hair dyes are fundamentally based on the same technologies, while there are key differences in shade and application variety. Temporary dyes or color rinses are usually formulated with high molecular weight acid or dispersed dyes, which have little affinity for hair and are quite soluble in the dye base. The dye is complexed with a cationic polymer to decrease solubility and increase affinity for hair, and the complex dispersed in the dye base by surfactants. The complex coats the outside of the hair shaft and excess can be rinsed off [3]. The binding forces between hair substrate and dyes are low, which determines their temporary effect, as they are easily washed out with the next use of shampoo. Each product contains a mixture of generally two to five color ingredients to achieve the desired shade [4]. Typical product forms include shampoos and sprays. While color results are very limited (no lightening, no permanent gray coverage), temporary dyes represent a good option to test colors or refresh dyed hair. Semi‐permanent hair dyes use a combination of preformed (direct) dyes to obtain results that last up to six to eight shampoos. The dyes are generally characterized by their low molecular weight, allowing them to diffuse into the outer cuticle layers without binding firmly to the hair protein (Figure 32.1). Nitro‐dyes are the most important group of dyes used in semi‐permanent colorants [5]. These uncharged (nonionic) dyes are barely influenced by negative charges on the surface of the hair. As a result, and because of their relatively small size, they are able to penetrate into the hair cuticle. Washing hair opens the cuticle, allowing the added color molecules to be washed out of the cuticle layer because of their solubility in water. Table 32.1 Overview of hair dye product types. D&C, dyes to be used in drugs and cosmetics; FD&C, dyes allowed to be used in food, drugs, and cosmetics; HC, dyes to be used in hair colorants. The products contain a mixture of preformed dyes and are usually left on the hair for approximately 20–30 minutes to achieve a meaningful color change. Color results are limited (no lightening, subtly blending away first grays). Demi‐permanent and permanent hair dyes involve oxidative chemistry, requiring different product components to be mixed just before they are applied. Oxidative dyes are the most frequently used and commercially most relevant hair dyes. Within this category, two differentiated product groups exist permanent and demi‐permanent dyes. The primary distinctions between those two groups are the type and level of alkalizing agent and the concentration of peroxide, which determine the efficacy of color change and formation in the hair and impact color longevity, gray coverage, and lightening performance. Demi‐permanent colors typically use 2% hydrogen peroxide (concentration on head) and low levels of alkalizer (usually monoethanolamine, not ammonia), leading to a less efficient dye penetration (ring dye effect; Figure 32.2). They wash out after up to 24 shampoo treatments. While they can be used to enhance and brighten natural color and blend or cover up gray hair up to 50%, they have little or no lightning potential. Figure 32.1 Hair cross‐section showing color penetration after semi‐permanent dyeing. Figure 32.2 Hair cross‐section showing color penetration after demi‐permanent dyeing. Figure 32.3 Hair cross‐section showing color penetration after permanent dyeing. Permanent colorants use up to 6% peroxide (concentration on head) and typically contain ammonia as alkalizer to bring the pH of the final product to 9.0–10.5. This allows complete penetration across the cortex (Figure 32.3). Permanent colorants are the most versatile and long‐lasting hair dye products and are also available in the widest spectrum of shades. Permanent dyes can lighten hair significantly, change color in subtle or dramatic ways, and provide 100% gray coverage, even on resistant gray hair. Reapplication is required every four to six weeks to avoid a noticeable root line from re‐growing, not colored hair. Most hair bleaches are products that lighten hair without adding a new color. In addition to hydrogen peroxide and ammonia, they contain persulfates to boost and accelerate the bleaching efficacy. Bleaching is the most efficient method of lightening natural and precolored hair. In the case of a partial bleaching, especially on very dark hair, the results can be an unwanted yellow to orange‐colored shade due to residual melanin residues in the hair’s cortex. Bleaches can lift the natural hair color most significantly and are often used with special techniques to apply highlighting effects to hair. Just as with permanent dyes, regular reapplication is needed to prevent visible re‐growth of the naturally darker hair. The natural coloration of hair is caused by the presence of melanin in the cortex of the hair shaft, which occurs in the form of minute pigment granules formed by melanocytes during the growth of the hair in the lower parts of the follicle. All natural hair color shades are created by just two types of melanin: the more common brownish‐black eumelanin, and the less common reddish‐yellow pheomelanin. The final color of hair is determined by the total amount of melanin it contains, by the size of the pigment granules, their distribution in the hair shaft, and by the ratio between the two melanin types [6]. Black hair contains eumelanin in high concentration, whereas blonde and red hair contains less pigment overall – and also higher ratios of pheomelanin. Despite clear differences in molecular size and general properties, the two melanin types are biogenetically related and develop from a common metabolic pathway involving dopaquinone as a key intermediate [7]. The pigments are present as oval or spherical granules, generally in the range 0.2–0.8 μm in length, and constitute less than 3% of the total hair mass [4]. Production of the pigment particles is located in specialized cells, the melanocytes, deep within the hair follicle. Melanocytes are embedded in the dermal papilla of the hair bulb where they secrete tiny packages called melanosomes into the surrounding keratinocytes. Natural hair color changes are often observed over the years from birth to old age. Many fair‐haired children gradually become darker and by middle age have brown hair. Graying hair affects all to a greater or lesser extent as part of the aging process. It seems to appear earlier in dark‐ than in light‐haired people and is less common in people of African descent. Graying of the hair is usually a gradual process and irreversible. The reason for going gray is not the production of a new “gray” pigment, but rather it is the cessation of production of the melanin pigment. Hence gray hair is simply the appearance of a pigmentless hair fiber. The gray to white appearance of nonpigmented hair fibers is due to scattering of light both at the surface and inside the keratin fiber. The increase in the total number of nonpigmented hair fibers on a person’s head is the cause of the bulk appearance of the hair color going toward gray with increasing age. The precise molecular and cellular causes of hair depigmentation are still under discussion. Hereditary factors seem to be predominant, meaning that a change in gene expression leads to the exhaustion of the pigmentary potential of each individual hair follicle which leads to reduced melanogenic activity with increasing age. It is likely that the reduced activity is due to the loss of the pigment forming melanocytes from the bulb and the outer root sheath of the aging hair follicle. Another theory is that melanocytes become inactive with age, and may also turn into fully committed pigment cells at the wrong place within the hair follicle, where they are ineffective for providing color to hair [8]. Melanocyte activity is under cyclic control in line with the growth cycle of the hair follicle leading to an apoptosis‐driven regression in the catagen and telogen phases. Theories on the mechanism behind the gradual depigmentation of the hair fiber include impaired DNA repair, antiapoptotic signals, loss of telomerase, and antioxidant mechanisms [8]. A key role is currently attributed to oxidative stress in the lower hair follicle induced by excess levels H2O2 caused by intrinsic production of the melanogenesis pathway [8]. For products designed to change the natural color of hair, it is important to consider that the melanin granules are distributed throughout the cortex of the hair shaft, showing the greatest concentration toward the outer edge (Figure 32.4). The cuticle layer of the hair shaft typically carries no natural pigments and is, therefore, transparent. It is, therefore, imperative for any effective hair dye product to penetrate past the cuticle layer into the cortex of the hair fiber. Figure 32.4 Longitudinal section of hair fiber showing melanin distribution across the cortex. There are two chemical processes that take place during the permanent dyeing process, both of which contribute to the final color. The first is the oxidation of the melanin pigments, lightening the underlying color. The second is the oxidation of the dye precursors to form the actual colored chromophores [9]. Important to note is that only the chromophores formed inside the hair are retained permanently, the remainder are washed away. Consequently, another important design parameter for permanent colorants is that the rates of diffusion of dye precursor in to the fiber and the rate of oxidation of the primaries must be balanced [9]. Permanent hair dyes and hair bleach products have the capability to lighten the natural color of hair by removing some of the existing pigment. Melanin is an impressively stable and resistant molecule, as a recent study demonstrated by giving evidence of melanin molecules being preserved in three fossil marine reptiles for nearly 200 million years [10]. Therefore, melanin bleaching requires a highly active technology that enables it to partly break down and dissolve the melanin granules in the hair shaft. During a complete bleaching procedure, the melanin granules are dissolved completely, leaving behind what appears under the microscope as a tiny cavity in the cortex of the hair. The process can be described as oxidative degradation of the melanins, leading to a variety of smaller degradation products. The reaction is diffusion‐controlled and therefore time dependent [4]. It has been reported that pheomelanins are more resistant to photobleaching, and probably also chemical bleaching, than eumelanins [11]. Permanent hair dyes are based on the oxidation by hydrogen peroxide of so‐called dye precursors or primary intermediates which typically belong to the chemical groups of p‐diamines and p‐aminophenols, in the presence of various couplers (for examples see Figure 32.5). To start the process, the highly alkaline pH of the dye formulations swells the hair fiber and allows the small active molecules to penetrate into the cortex where the dye formation takes place in three main steps. The first step of the dye formation process is the oxidation of the primary intermediates to highly active imines. If no coupler is present, these imines will react with their unoxidized form to give polynuclear brown or black colored complexes. In the presence of couplers (sometimes called color modifiers) the imines then react preferentially with the coupler molecules at the most nucleophilic carbon atom on the structure. In step 3, this coupled reaction product is oxidized to form wash‐resistant indo dyes (for an overview of the dye formation process see Figure 32.6). Couplers do not themselves produce color but modify the color produced by the oxidation of the primary intermediates (Table 32.2). The final color is a function of the amounts and the properties of the individual primary intermediates and couplers in the composition. The choice of primary and coupler is large hence leading to the possibility to formulate a large range of colors. The size and solubility of the chromophores formed in the hair make them particularly resistant to removal by washing, and means they undergo little fading [5]. Figure 32.5 Some typical oxidative dye precursors (top) and couplers (bottom). Figure 32.6 The three main steps in oxidative dye formation (here with p‐phenylenediamine and m‐phenylenediamine).
CHAPTER 32
Hair Dyes
Introduction
Definitions
Product subtypes
Temporary dyes
Semi‐permanent dyes
Hair dye product types
Dye technology
Level of lastingness
Temporary
Preformed FD&C and D&C dyes
Wash out (with one wash)
Semi‐permanent
Preformed HC and disperse dyes
Wash out (with 6–8 washes)
Demi‐permanent
Oxidative dyes, reduced peroxide concentration
Wash out (with up to 24 washes)
Permanent
Oxidative dyes
Permanent (grows out)
Bleaching
Oxidative bleaching, no dye deposition
Permanent (grows out)
Demi‐permanent and permanent dyes
Bleaches
Chemistry
Natural hair pigmentation
Permanent hair dyes
Melanin bleaching
Oxidative dye formation

Stay updated, free articles. Join our Telegram channel
Full access? Get Clinical Tree





