(1)
Misdiagnosis Association & Society, Seattle, WA, USA
Keywords
Pemphigus vulgarisTreatment optionsNo treatmentCorticosteroidsPlasma exchangeIntravenous (IV) immunoglobulin (Ig) therapyAdjuvantsComplicationsTreatment Options
Prognosis with No Treatment
Corticosteroids with Adjuvants
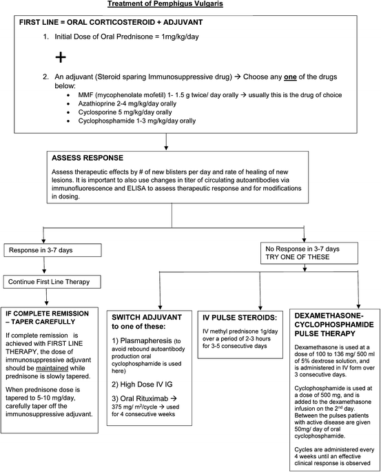
Corticosteroids are first-line therapy for this condition (Fig. 8.1) [1, 3]. Initially, the patient should be started off on prednisone 1 mg/kg/day, and then when the patient reaches the control of disease activity level, the patient can then be weaned off of this systemic corticosteroid slowly [1]. Basically, physicians have to measure the levels of autoantibodies in the blood using enzyme-linked immunosorbent assay (ELISA) or indirect immunofluorescence and taper off the corticosteroids accordingly [2]. If the patient does not respond in 3–7 days, with corticosteroid and an adjuvant such as mycophenolate mofetil (MMF) or azathioprine, an alternate adjuvant with corticosteroids should be tried, such as plasma exchange , intravenous (IV) immunoglobulin (Ig), or rituximab. Corticosteroids should only be used in the short term because of the dangerous side effects of these drugs. They suppress the immune system and thus may increase the risk of malignancies , infections, and sepsis [1]. Corticosteroids are effective, have rapid onset, and are administered orally [3].


Fig. 8.1
Treatment algorithm for pemphigus vulgaris
From the start of the therapy, an adjuvant has to be used with the corticosteroids to ensure that the disease stays in the control of disease activity phase. This shortens the duration and dose of the corticosteroids that have adverse side effects if taken over long periods of time. The most popular adjuvant used by physicians is mycophenolate mofetil, which is given at a dose of 1–1.5 mg/day [1]. The mechanism of action of MMF is that it inhibits the growth of B and T cells by preventing purine synthesis. Azathioprine is also a popular adjuvant choice as well, is cheaper than MMF, and is given at a dose of 2–4 mg/kg/day [1, 2]. Oral corticosteroids have faster onset of action than adjuvant immunosuppressants, which is why they are used acutely [3]. Azathioprine causes dose-dependent myelosuppression and nausea; MMF, on the other hand, causes less myelosuppression, but more gastrointestinal toxicity [2]. MMF is more expensive than azathioprine, but it has less side effects and is well tolerated [3]. If the patient has complete remission of the disease on combined therapy, the corticosteroids can be tapered off, while keeping the dose of the immunosuppressive adjuvant the same [2]. When the corticosteroid dose reaches 5–10 mg/day, physicians should taper off of the immunosuppressive adjuvant as well [2].
Stay updated, free articles. Join our Telegram channel
Full access? Get Clinical Tree




